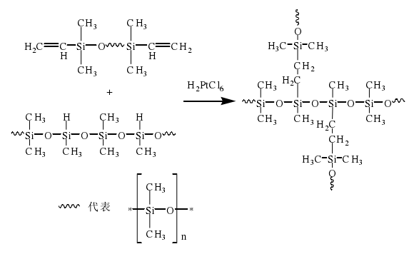
双组份加成型硅橡胶则主要由乙烯基聚二甲基硅氧烷与氢基聚二甲基硅氧烷,在铂催化剂的催化作用下发生硅氢加成反应,而交联成的网状结构的弹性体。产品分为A、B两组份包装,使用时按一定比例将两组份充分混合均匀,在一定温度下,即可硫化成弹性体。其硫化机理是,生胶端基上的乙烯基和交联剂分子上的硅氢键,在含铂化合物的催化下发生加成反映来完成的。

图1 加成型硅橡胶反应机理
加成型硅橡胶的固化剂即铂金催化剂,大多数加成型硅橡胶都是通过铂金催化剂来使其固化的。
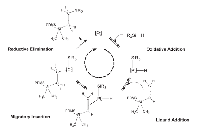
一般以第八族过渡金属(比如铂、钯、铑、镍)及其化合物或相应络合物作为硅氢加成反应的催化剂,研究表明,这些种类催化剂中,铂类催化剂具有最佳的催化效率2931。将铂化合物制成与聚硅氧烷的的相容性非常好的甲基乙烯基硅氧烷配位化合物,即 Karstedt催化剂,或者将铂化合物溶于四氢呋喃或异丙醇中形成配合物溶液,其催化效率更佳,其催化机理如图2所示。铂催化剂的催化效率较高,故使用量较少,一般(以铂计)在聚合物总重的5~500pm之间3。李艳萍等研究了铂催化剂添加量在5~100ppm范围内变化时,对加成型硅橡胶固化时间和力学性能的影响,发现催化剂添加量为15ppm时,固化时间少于200s,弹性模量可达7.7MPa,断裂伸长率可达730%。催化剂用量并不是越多越好,催化剂过量时,反应太快,胶料内部气泡来不及逸出便被密封在加成型硅橡胶里,容易造成性能上的缺陷。

图2 铂催化剂的催化原理示意图
宏图加成型液体硅胶出货装

公司地址:广东省 深圳市 龙岗区 龙城大道3020
座机:0755-28342471 邮箱:279840520@qq.com
国际米兰足球直播吧
版权所有 ICP:粤ICP备17099390号
模具硅胶生产厂家:深圳液体硅胶生产基地
